2023全国高考的海南二卷数学试题-海南二卷数学试题
2023全国高考的海南二卷数学试题推荐给大家浏览。高考就是普通高等学校招生全国统一考试,每年六七月份高考生为理想院校埋头苦干,涌现出了很多优秀的高考学生,下面是小编进行整理的2023全国高考的海南二卷数学试题,欢迎查阅。
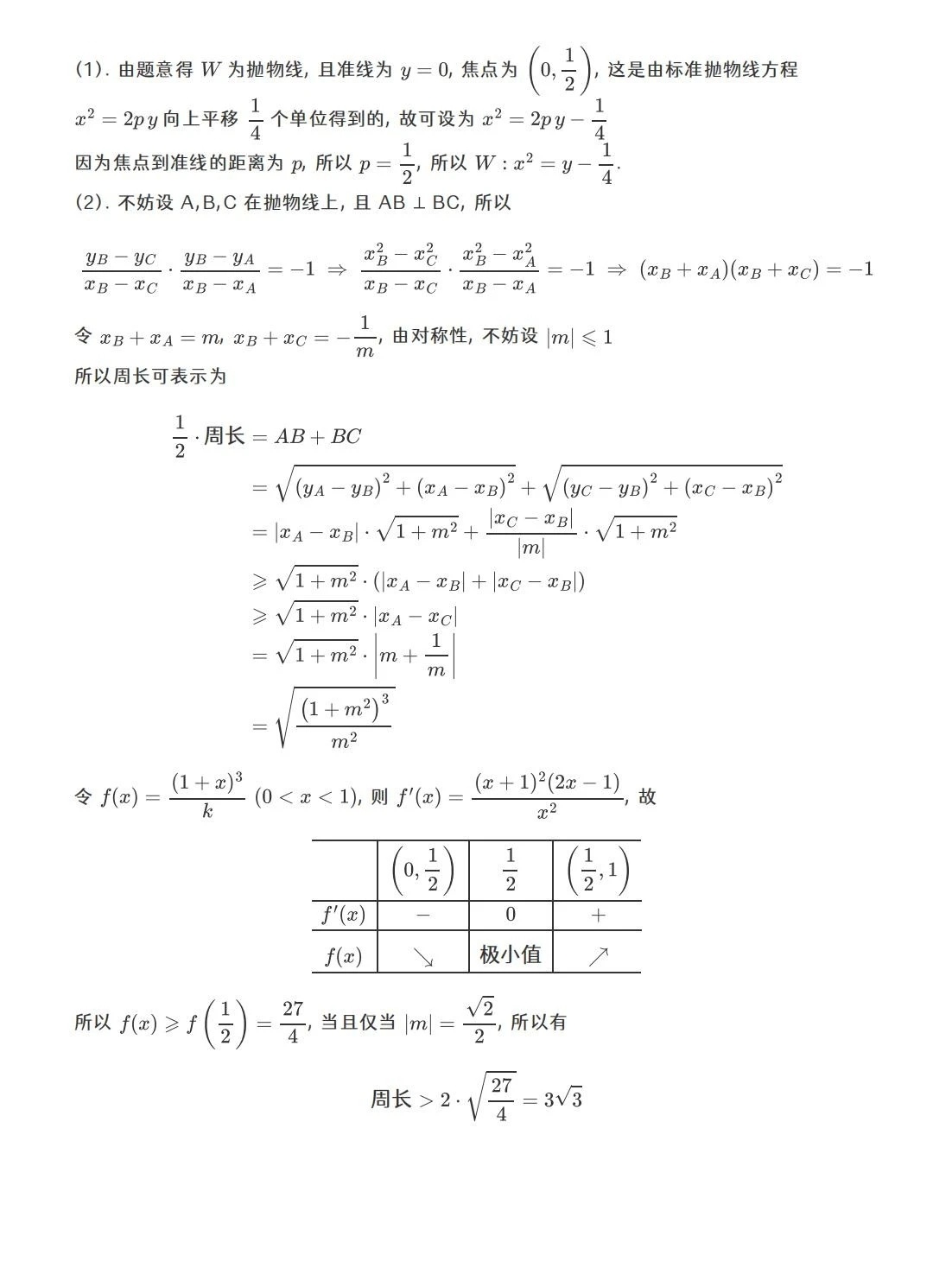
2023全国高考的海南二卷数学试题










2023高考数学难度排行
第1档地区(优惠模式)北京,上海,天津。
第2档地区(优惠模式)西藏,青海,宁夏,吉林,辽宁。
第3档地区(普通模式)福建,海南,陕西,黑龙江,内蒙古,新疆。
第4档地区(困难模式)重庆,浙江,湖南,江西,河北,江苏,贵州,甘肃。
第5档地区(噩梦模式)山东,四川,云南,安徽,广西,山西。
第6档地区(地狱模式)广东,河南,湖北。
海南高考700分相当于内地多少分?
海南高考的优点
一、本科率非常高,海南的高考本科率可以排全国第四,北京天津上海前三。
2020年海南本科率25%,本科率54%;2021年本科率25.6%,本科率71.67%。
最重要的是,海南的高考生数量很少。2019年至2022年,每年更高报考人数不超过6.4万人。
结合本科率和高考人数,海南高考相对于其他拥有百万高考考生的省份具有绝对优势。
而且按照海南近几年高考人数的增长速度,近期不会有太大变化。
二、2020年起,海南作为新高考试点,取消文理分科。
除了语言的数量,孩子可以选择自己喜欢或者擅长的科目,这对于偏科的孩子来说是非常友好的。而且海南高考试卷目前使用的是全国高考二类试卷,难度较大。
三,录取分数线低,
同样的分数在海南可以是985和211,但是在一些省份只能进一本普通的书。
海南高考分数是换算分数。简单来说,如果你原来的总分是300~400,你最后的分数加上换算分数大概是120~150,也就是总分可以达到450~550左右。
如果你原来的总分是500 ~ 600,那么你的水平线要达到B和A的水平,可以加180分左右,你的高考成绩是680 ~ 780。
总的来说,考的人少,录取率高,换算积分。如果你是少数或特殊的,有政策点,这也是为什么曾经一度掀起“海南高考移民”的热潮。
海南高考和河南高考难度差距大吗
海南高考和河南高考的难度差距确实比较大。首先,海南高考是全国高考的重点考区之一,因此要求的考试水平相对较高,比如数学、英语等科目难度都比较高。而河南高考虽然也很重要,但相比于海南高考来说,对学生的要求略微降低。
其次,海南高考与内地高考相比,更加注重综合素质的考查,如口语表达、社会实践等,难度也比较大。相对来说,河南高考注重的是传统的文化考核,比如语文和文学理解等,难度稍微降低一些。因此,考生要根据自己的情况来选择不同的考试地点,做好充分的复习备考工作。
2023全国高考的海南二卷数学试题
上一篇:贵州高考理综真题及答案2023
下一篇:返回列表





